BMOJOF-primed-HQwen3-8B-Instruct

BMOJOF-primed-HQwen3-8B-Instruct is a Hybrid language model consisting of 50% Attention layers and 50% B'MOJO-F layers, primed from Qwen3-8B using the Hybrid Model Factory Priming pipeline. The model is instruction-tuned and supports context lengths up to 128K tokens.

The B'MOJO-F layer is a hybrid layer that couples sliding-window Attention (eidetic memory for precise local context) with a State-Space Model (fading memory for a compressed summary of the unbounded past) within a single layer, rather than alternating separate Attention and SSM layers across the model. This makes it unique among hybrid architectures because each B'MOJO-F layer simultaneously maintains both forms of memory, exact recall of recent tokens and an approximate, ever-updating representation of the full history, allowing the model to flexibly trade off between high-fidelity local retrieval and efficient long-range context compression.

By combining Attention with B'MOJO-F, our Hybrid model achieves up to 1.75× faster inference at long contexts while closely matching the base Transformer's quality.

Links

Why Hybrid?

Each Primed Hybrid model is initialized from a base Transformer by converting a portion of its Attention layers into State-Space Model (SSM) layers that maintain a fixed-size recurrent state instead of a growing KV cache. At a 50% Hybrid ratio, roughly half the KV cache (which grows linearly with sequence length) is replaced with fixed-size SSM state. The practical benefits:

  • Higher throughput at long contexts — less memory on KV cache means more memory for batching
  • More concurrent sequences — ~2× as many concurrent sequences before hitting memory limits
  • Growing advantage with context length — at long contexts, Attention dominates the forward pass while SSM layers remain negligible in cost. Since the Hybrid model makes roughly half as many Attention calls as the base Transformer, the throughput advantage grows with context length

Increasing hybridization ratio, replacing more Attention layers with SSM layers, further reduces memory and increases throughput, typically at the expense of performance.

Model Overview

  • Type: Causal Language Model (Hybrid Attention + SSM)
  • Base Model: Qwen3-8B
  • Hybrid Layer Type: B'MOJO-F
  • Hybrid Ratio: 50% (18 Attention + 18 B'MOJO-F layers)
  • Parameters: ~8B
  • Context Length: 128K natively
  • Precision: bfloat16
  • License: Apache 2.0

Note, this is an Instruct-tuned model and is not a thinking model, that is, it does not natively produce chain-of-thought thinking tokens in its generation trace.

Benchmark Results

Below we report benchmark performance for all our instruct-tuned Primed models. All Hybrid models use a 50% Hybrid ratio and are Primed from Qwen3-8B.

We consider two baselines:

  1. Qwen3-8B (non-thinking, from HF): The original Qwen model evaluated in non-thinking mode, which is the intended mode for an Instruct model. This serves as the base Transformer from which we start the Priming procedure.
  2. Qwen3-8B (Long): The Qwen model fine-tuned on our priming data, extending its native context length from 32K to 128K. All Primed Hybrid models use the same training hyperparameters and data as this baseline, making it a fair comparison for differing architectures.

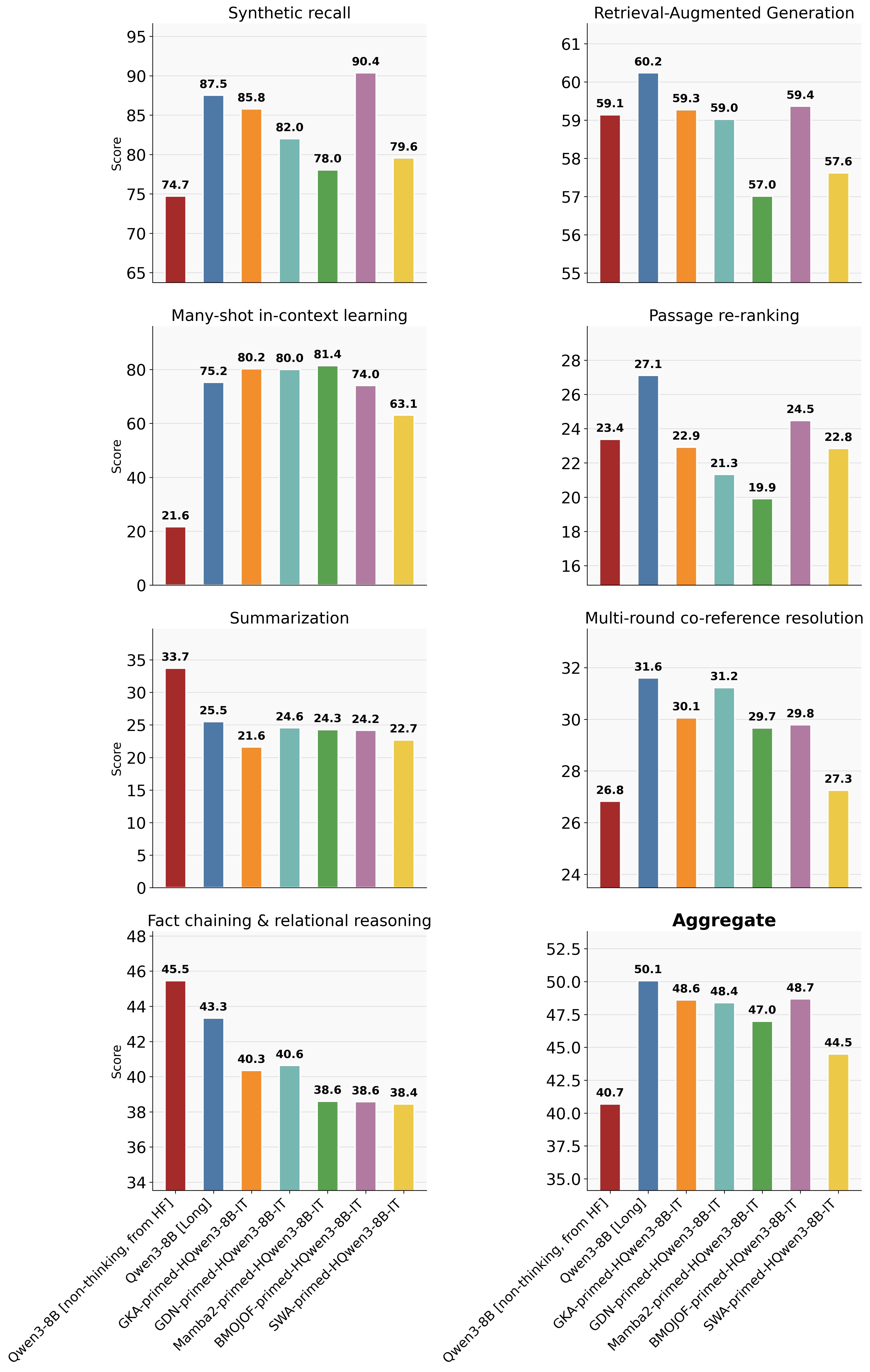
On both long- and short-context benchmarks, our Primed Hybrid models closely match the performance of the Transformer model while having considerably lower deployment costs, showcasing the efficacy of the Priming process.

Long-Context Benchmarks

Evaluated on HELMET, MRCR, and BABILong across context lengths from 8K to 128K, using a weighted average with geometrically increasing weights for longer contexts.

The plot below shows performance averaged over context lengths from 8K to 128K.

For the Qwen3-8B (non-thinking, from HF) model, we used YaRN to evaluate on long-context tasks as directed in the model card

How close are the Hybrid models to the Transformer baseline on long context tasks? Primed GKA and GDN Hybrids are within ~1.5 points of Qwen3-8B (Long) on average, while being 1.5–2× faster at inference. Primed B'MOJO-F matches GKA/GDN in quality but is slower due to unfused SSM+SWA kernels (details). Primed Mamba2 lags further behind (approx. 3 point gap), consistent with GKA and GDN's higher expressivity.

Why SSM layers over Sliding Window Attention (SWA)? All Hybrid SSM models outperform the Hybrid SWA model (50% Attention + 50% SWA, window size 512). Even though SWA uses ~2× the effective state size of GKA at BF16, SSM layers retain information from the remote past, while SWA forgets everything beyond its window.

Short-Context NLP Benchmarks

Evaluations on Tulu3-dev from OLMES. All tasks are over a short-context length (≤ 8K). Each category in the table below averages the following Tulu3-dev subtasks:

  1. Math: GSM8K, MATH.
  2. Knowledge: MMLU, PopQA, TruthfulQA.
  3. Coding: HumanEval, HumanEval+.
  4. Reasoning: BigBenchHard.
  5. Instruction Following: IFEval.
Model Math Knowledge Coding Reasoning Instruction Following Average
Qwen3-8B [non-thinking, from HF] 81.36 49.33 91.77 74.31 85.59 76.47
Qwen3-8B [Long] 64.56 49.75 91 76.27 74.49 71.21
GKA-primed-HQwen3-8B-Instruct 64.15 47.90 90.46 72.60 70.98 69.22
GDN-primed-HQwen3-8B-Instruct 59.54 48.41 91.18 72.97 73.57 69.13
Mamba2-primed-HQwen3-8B-Instruct 57.77 46.91 89.56 70.99 74.86 68.02
BMOJOF-primed-HQwen3-8B-Instruct 65.69 48.63 90.02 76.42 75.60 71.27

How close are the Hybrid models to the Transformer baseline on short context tasks? All Primed Hybrid models are within ~3 points of Qwen3-8B (Long), using <0.5% of the base Transformer's pre-training token budget. Note, B'MOJO-F fully matches the Transformer baseline but is slower to deploy (see above).

Which SSM layer type performs best? Among the non B'MOJO-F Hybrids, GKA ranks first (~2 point gap with Qwen3-8B [Long]), followed by GDN, then Mamba2. This ranking correlates with the expressiveness order of their respective SSM layers.

For applications to complex reasoning and coding problems check out our Primed Hybrid Reasoning models.

About B'MOJO-F

B'MOJO-F is a hybrid layer that fuses two forms of memory within a single layer: sliding-window Attention (eidetic memory) for exact recall of recent tokens, and a State-Space Model (fading memory) for a compressed, continuously updated summary of the full sequence history. In contrast, other hybrid architectures in this model zoo (GKA, GDN, Mamba2) use entire layers dedicated to one memory type or the other, Attention layers for eidetic memory and SSM layers for fading memory. B'MOJO-F couples both within every hybrid layer, so each layer can simultaneously retrieve precise local context and reference a global summary of the past.

The SSM component inside B'MOJO-F is configurable, this release uses GKA as the SSM mixer. The sliding window size (default 2048 tokens) controls the size of the fading and eidetic memory. For more details, see the B'MOJO paper.

Architecture Details

Component Details
Number of Layers 36 (18 Attention + 18 B'MOJO-F)
Hidden Dimension 4096
Attention Heads 32 (Q) / 8 (KV)
Head Dimension 128
Intermediate Dimension (FFN) 12288
Vocabulary Size 151,936
Position Encoding RoPE (θ = 5,000,000)
Layer Layout B'MOJO-F layer indices were selected with our selective hybridization procedure

Inference Efficiency

Sustained decode throughput (tokens/s) on 8× H200 GPUs (TP=8), measured during pure decode with a saturated KV cache. Benchmarked with random data (no prefix-caching benefits). See the full Inference guide for methodology and additional models.

Model 16K 32K 64K 128K
BMOJOF-primed-HQwen3-8B-Instruct 7,854 (0.88×) 5,597 (1.08×) 3,573 (1.30×) 2,153 (1.75×)
GKA-primed-HQwen3-8B 15,892 (1.78×) 9,159 (1.77×) 5,173 (1.89×) 2,736 (2.23×)
GDN-primed-HQwen3-8B 17,479 (1.95×) 10,080 (1.95×) 5,521 (2.01×) 2,863 (2.33×)
Mamba2-primed-HQwen3-8B 16,844 (1.88×) 9,966 (1.93×) 5,460 (1.99×) 2,825 (2.30×)
Qwen3-8B (Long) 8,951 5,174 2,740 1,227

Mean TTFT at the Transformer's saturated batch size (Hybrid model has memory to spare):

Model 16K 32K 64K 128K
BMOJOF-primed-HQwen3-8B-Instruct 44,763 ms (1.61×) 47,600 ms (1.46×) 52,272 ms (1.23×) 61,702 ms (0.98×)
GKA-primed-HQwen3-8B 35,013 ms (1.26×) 38,502 ms (1.18×) 44,893 ms (1.06×) 53,606 ms (0.85×)
GDN-primed-HQwen3-8B 27,805 ms (1.00×) 30,975 ms (0.95×) 36,151 ms (0.85×) 46,389 ms (0.74×)
Mamba2-primed-HQwen3-8B 28,668 ms (1.03×) 31,405 ms (0.96×) 36,666 ms (0.86×) 46,618 ms (0.74×)
Qwen3-8B (Long) 27,736 ms 32,661 ms 42,462 ms 62,922 ms

B'MOJO-F surpasses the Transformer from 32K onward and reaches 1.75× decode throughput at 128K. Its lower throughput relative to other Hybrid models reflects three forward passes per hybrid layer, which we expect to improve with future kernel optimizations. TTFT converges toward the Transformer at long contexts (0.98× at 128K).

Usage

With vLLM (recommended)

Install the Hybrid Model Factory vLLM plugin in your local environment, then serve:

vllm serve amazon/BMOJOF-primed-HQwen3-8B-Instruct \
  --enable-prefix-caching \
  --mamba-cache-mode align \
  --mamba-cache-dtype float32 \
  --mamba-ssm-cache-dtype float32

Query the server:

curl http://localhost:8000/v1/chat/completions \
  -H "Content-Type: application/json" \
  -d '{
    "model": "amazon/BMOJOF-primed-HQwen3-8B-Instruct",
    "messages": [
      {"role": "system", "content": "You are a helpful assistant."},
      {"role": "user", "content": "What is Linear Attention in the context of LLMs?"}
    ]
  }'

The --mamba-cache-dtype float32 and --mamba-ssm-cache-dtype float32 flags are important for accurate long-context generation. See the Inference guide for details on all recommended flags.

With Hugging Face Transformers

See the Inference guide for details on when we recommend the Hugging Face Transformers implementation as opposed to the highly optimized vLLM one.

from transformers import AutoModelForCausalLM, AutoTokenizer
import hmf.model.hybrid_zoo.models.model_register  # Register Hybrid models

model = AutoModelForCausalLM.from_pretrained(
    "amazon/BMOJOF-primed-HQwen3-8B-Instruct", trust_remote_code=True
).to("cuda")
tokenizer = AutoTokenizer.from_pretrained("amazon/BMOJOF-primed-HQwen3-8B-Instruct")

messages = [{"role": "user", "content": "What is linear attention in the context of LLMs?"}]
prompt = tokenizer.apply_chat_template(
    messages, tokenize=False, add_generation_prompt=True
)
inputs = tokenizer(prompt, return_tensors="pt").to("cuda")
outputs = model.generate(**inputs, max_new_tokens=256)
print(tokenizer.decode(outputs[0], skip_special_tokens=True))

Training-Free Context Extension

This model supports training-free context extension 2-4× its native context via an extension to Hybrid models of PICASO cache composition. See the State Composition guide for usage. Note, this is currently supported in Hugging Face Transformers only.

Training data

These models were produced through the multi-stage Priming pipeline from Hybrid Model Factory. Training data spans web documents, mathematics, long-context documents, and instruction-following and reasoning examples — each targeting a different capability axis. This diversity is critical: it allows the Priming procedure to convert a base Transformer into a more memory- and compute-efficient Hybrid architecture at nearly the same level of performance, using <0.5% of the base Transformer model's pre-training token budget.

Responsible AI Considerations

At Amazon, we are committed to developing AI responsibly and take a people-centric approach that prioritizes education, science, and our customers, to integrate responsible AI across the end-to-end AI lifecycle. We believe the use of AI must respect the rule of law and human rights, and we encourage the safe and responsible development of AI. When downloaded or used in accordance with AWS Responsible AI Policy, developers should work with their internal model team to ensure this model meets requirements for the relevant industry and use case and addresses unforeseen product misuse. Please report model quality, risk, security vulnerabilities or Amazon AI Concerns here.

Citation

@software{hybrid_model_factory,
  title = {Hybrid Model Factory},
  year = {2026},
  url = {https://github.com/awslabs/hybrid-model-factory}
}

@misc{zancato2024bmojohybridstatespace,
      title={B'MOJO: Hybrid State Space Realizations of Foundation Models with Eidetic and Fading Memory}, 
      author={Luca Zancato and Arjun Seshadri and Yonatan Dukler and Aditya Golatkar and Yantao Shen and Benjamin Bowman and Matthew Trager and Alessandro Achille and Stefano Soatto},
      year={2024},
      eprint={2407.06324},
      archivePrefix={arXiv},
      primaryClass={cs.LG},
      url={https://arxiv.org/abs/2407.06324}, 
}

License

This model is licensed under the Apache 2.0 License.

Downloads last month
8
Safetensors
Model size
9B params
Tensor type
F32
·
BF16
·
Inference Providers NEW
This model isn't deployed by any Inference Provider. 🙋 Ask for provider support

Model tree for amazon/BMOJOF-primed-HQwen3-8B-Instruct

Finetuned
Qwen/Qwen3-8B
Finetuned
(1348)
this model

Collection including amazon/BMOJOF-primed-HQwen3-8B-Instruct

Papers for amazon/BMOJOF-primed-HQwen3-8B-Instruct